Preprocessing and clustering 3k PBMCs (legacy workflow)#

In May 2017, this started out as a demonstration that Scanpy would allow to reproduce most of Seurat’s guided clustering tutorial [Satija et al., 2015].

We gratefully acknowledge Seurat’s authors for the tutorial! In the meanwhile, we have added and removed a few pieces.

The data consist of 3k PBMCs from a Healthy Donor and are freely available from 10x Genomics (here from this webpage). On a unix system, you can uncomment and run the following to download and unpack the data. The last line creates a directory for writing processed data.

# !mkdir -p data
# !curl https://cf.10xgenomics.com/samples/cell-exp/1.1.0/pbmc3k/pbmc3k_filtered_gene_bc_matrices.tar.gz -o data/pbmc3k_filtered_gene_bc_matrices.tar.gz
# !cd data; tar -xzf pbmc3k_filtered_gene_bc_matrices.tar.gz
# !mkdir -p write

Note

Download the notebook by clicking on the Edit on GitHub button. On GitHub, you can download using the Raw button via right-click and Save Link As. Alternatively, download the whole scanpy-tutorial repository.

Note

In Jupyter notebooks and lab, you can see the documentation for a python function by hitting SHIFT + TAB. Hit it twice to expand the view.

import pandas as pd
import scanpy as sc
sc.settings.verbosity = 3  # verbosity: errors (0), warnings (1), info (2), hints (3)
sc.logging.print_header()
sc.settings.set_figure_params(dpi=80, facecolor="white")
scanpy==1.10.3 anndata==0.10.9 umap==0.5.6 numpy==2.0.2 scipy==1.14.1 pandas==2.2.3 scikit-learn==1.5.2 statsmodels==0.14.3 igraph==0.11.6 pynndescent==0.5.13
results_file = "write/pbmc3k.h5ad"  # the file that will store the analysis results

Read in the count matrix into an AnnData object, which holds many slots for annotations and different representations of the data. It also comes with its own HDF5-based file format: .h5ad.

adata = sc.read_10x_mtx(
    "data/filtered_gene_bc_matrices/hg19/",  # the directory with the `.mtx` file
    var_names="gene_symbols",  # use gene symbols for the variable names (variables-axis index)
    cache=True,  # write a cache file for faster subsequent reading
)
... reading from cache file cache/data-filtered_gene_bc_matrices-hg19-matrix.h5ad

Note

See Getting started with anndata for a more comprehensive introduction to AnnData.

adata.var_names_make_unique()  # this is unnecessary if using `var_names='gene_ids'` in `sc.read_10x_mtx`
adata
AnnData object with n_obs × n_vars = 2700 × 32738
    var: 'gene_ids'

Preprocessing#

Show those genes that yield the highest fraction of counts in each single cell, across all cells.

sc.pl.highest_expr_genes(adata, n_top=20)
normalizing counts per cell
    finished (0:00:00)
../../_images/2a75b408657bb49077a051bc84f056819491af7e8a7b6f5c82998b75ab221a6c.png

Basic filtering:

sc.pp.filter_cells(adata, min_genes=200)
sc.pp.filter_genes(adata, min_cells=3)
filtered out 19024 genes that are detected in less than 3 cells

Let’s assemble some information about mitochondrial genes, which are important for quality control.

Citing from “Simple Single Cell” workflows [Lun et al., 2016]:

High proportions are indicative of poor-quality cells [Ilicic et al., 2016, Islam et al., 2013], possibly because of loss of cytoplasmic RNA from perforated cells. The reasoning is that mitochondria are larger than individual transcript molecules and less likely to escape through tears in the cell membrane.

With pp.calculate_qc_metrics, we can compute many metrics very efficiently.

# annotate the group of mitochondrial genes as "mt"
adata.var["mt"] = adata.var_names.str.startswith("MT-")
sc.pp.calculate_qc_metrics(
    adata, qc_vars=["mt"], percent_top=None, log1p=False, inplace=True
)

A violin plot of some of the computed quality measures:

  • the number of genes expressed in the count matrix

  • the total counts per cell

  • the percentage of counts in mitochondrial genes

sc.pl.violin(
    adata,
    ["n_genes_by_counts", "total_counts", "pct_counts_mt"],
    jitter=0.4,
    multi_panel=True,
)

Remove cells that have too many mitochondrial genes expressed or too many total counts:

sc.pl.scatter(adata, x="total_counts", y="pct_counts_mt")
sc.pl.scatter(adata, x="total_counts", y="n_genes_by_counts")

Actually do the filtering by slicing the AnnData object.

adata = adata[adata.obs.n_genes_by_counts < 2500, :]
adata = adata[adata.obs.pct_counts_mt < 5, :].copy()

Total-count normalize (library-size correct) the data matrix \(\mathbf{X}\) to 10,000 reads per cell, so that counts become comparable among cells.

sc.pp.normalize_total(adata, target_sum=1e4)
normalizing counts per cell
    finished (0:00:00)

Logarithmize the data:

sc.pp.log1p(adata)

Identify highly-variable genes.

sc.pp.highly_variable_genes(adata, min_mean=0.0125, max_mean=3, min_disp=0.5)
extracting highly variable genes
    finished (0:00:00)
--> added
    'highly_variable', boolean vector (adata.var)
    'means', float vector (adata.var)
    'dispersions', float vector (adata.var)
    'dispersions_norm', float vector (adata.var)
sc.pl.highly_variable_genes(adata)

Set the .raw attribute of the AnnData object to the normalized and logarithmized raw gene expression for later use in differential testing and visualizations of gene expression. This simply freezes the state of the AnnData object.

Note

You can get back an AnnData of the object in .raw by calling .raw.to_adata().

adata.raw = adata.copy()

Note

If you don’t proceed below with correcting the data with sc.pp.regress_out and scaling it via sc.pp.scale, you can also get away without using .raw at all.

The result of the previous highly-variable-genes detection is stored as an annotation in .var.highly_variable and auto-detected by PCA and hence, sc.pp.neighbors and subsequent manifold/graph tools. In that case, the step actually do the filtering below is unnecessary, too.

Actually do the filtering

adata = adata[:, adata.var.highly_variable]

Regress out effects of total counts per cell and the percentage of mitochondrial genes expressed. Scale the data to unit variance.

sc.pp.regress_out(adata, ["total_counts", "pct_counts_mt"])
regressing out ['total_counts', 'pct_counts_mt']
    sparse input is densified and may lead to high memory use
    finished (0:00:02)

Scale each gene to unit variance. Clip values exceeding standard deviation 10.

sc.pp.scale(adata, max_value=10)

Principal component analysis#

Reduce the dimensionality of the data by running principal component analysis (PCA), which reveals the main axes of variation and denoises the data.

sc.tl.pca(adata, svd_solver="arpack")
computing PCA
    with n_comps=50
    finished (0:00:01)

We can make a scatter plot in the PCA coordinates, but we will not use that later on.

sc.pl.pca(adata, color="CST3")

Let us inspect the contribution of single PCs to the total variance in the data. This gives us information about how many PCs we should consider in order to compute the neighborhood relations of cells, e.g. used in the clustering function sc.tl.louvain() or tSNE sc.tl.tsne(). In our experience, often a rough estimate of the number of PCs does fine.

sc.pl.pca_variance_ratio(adata, log=True)

Save the result.

adata.write(results_file)
adata
AnnData object with n_obs × n_vars = 2638 × 1838
    obs: 'n_genes', 'n_genes_by_counts', 'total_counts', 'total_counts_mt', 'pct_counts_mt'
    var: 'gene_ids', 'n_cells', 'mt', 'n_cells_by_counts', 'mean_counts', 'pct_dropout_by_counts', 'total_counts', 'highly_variable', 'means', 'dispersions', 'dispersions_norm', 'mean', 'std'
    uns: 'log1p', 'hvg', 'pca'
    obsm: 'X_pca'
    varm: 'PCs'

Computing the neighborhood graph#

Let us compute the neighborhood graph of cells using the PCA representation of the data matrix. You might simply use default values here. For the sake of reproducing Seurat’s results, let’s take the following values.

sc.pp.neighbors(adata, n_neighbors=10, n_pcs=40)
computing neighbors
    using 'X_pca' with n_pcs = 40
    finished: added to `.uns['neighbors']`
    `.obsp['distances']`, distances for each pair of neighbors
    `.obsp['connectivities']`, weighted adjacency matrix (0:00:01)

Embedding the neighborhood graph#

We suggest embedding the graph in two dimensions using UMAP [McInnes et al., 2018], see below. It is potentially more faithful to the global connectivity of the manifold than tSNE, i.e., it better preserves trajectories. In some ocassions, you might still observe disconnected clusters and similar connectivity violations. They can usually be remedied by running:

sc.tl.paga(adata)
sc.pl.paga(adata, plot=False)  # remove `plot=False` if you want to see the coarse-grained graph
sc.tl.umap(adata, init_pos='paga')
sc.tl.umap(adata)
computing UMAP
    finished: added
    'X_umap', UMAP coordinates (adata.obsm)
    'umap', UMAP parameters (adata.uns) (0:00:02)
sc.pl.umap(adata, color=["CST3", "NKG7", "PPBP"])

As we set the .raw attribute of adata, the previous plots showed the “raw” (normalized, logarithmized, but uncorrected) gene expression. You can also plot the scaled and corrected gene expression by explicitly stating that you don’t want to use .raw.

sc.pl.umap(adata, color=["CST3", "NKG7", "PPBP"], use_raw=False)

Clustering the neighborhood graph#

As with Seurat and many other frameworks, we recommend the Leiden graph-clustering method (community detection based on optimizing modularity) by Traag et al. [2019]. Note that Leiden clustering directly clusters the neighborhood graph of cells, which we already computed in the previous section.

sc.tl.leiden(
    adata,
    resolution=0.9,
    random_state=0,
    flavor="igraph",
    n_iterations=2,
    directed=False,
)
running Leiden clustering
    finished: found 8 clusters and added
    'leiden', the cluster labels (adata.obs, categorical) (0:00:00)

Plot the clusters, which agree quite well with the result of Seurat.

sc.pl.umap(adata, color=["leiden", "CST3", "NKG7"])

Save the result.

adata.write(results_file)

Finding marker genes#

Let us compute a ranking for the highly differential genes in each cluster. For this, by default, the .raw attribute of AnnData is used in case it has been initialized before. The simplest and fastest method to do so is the t-test.

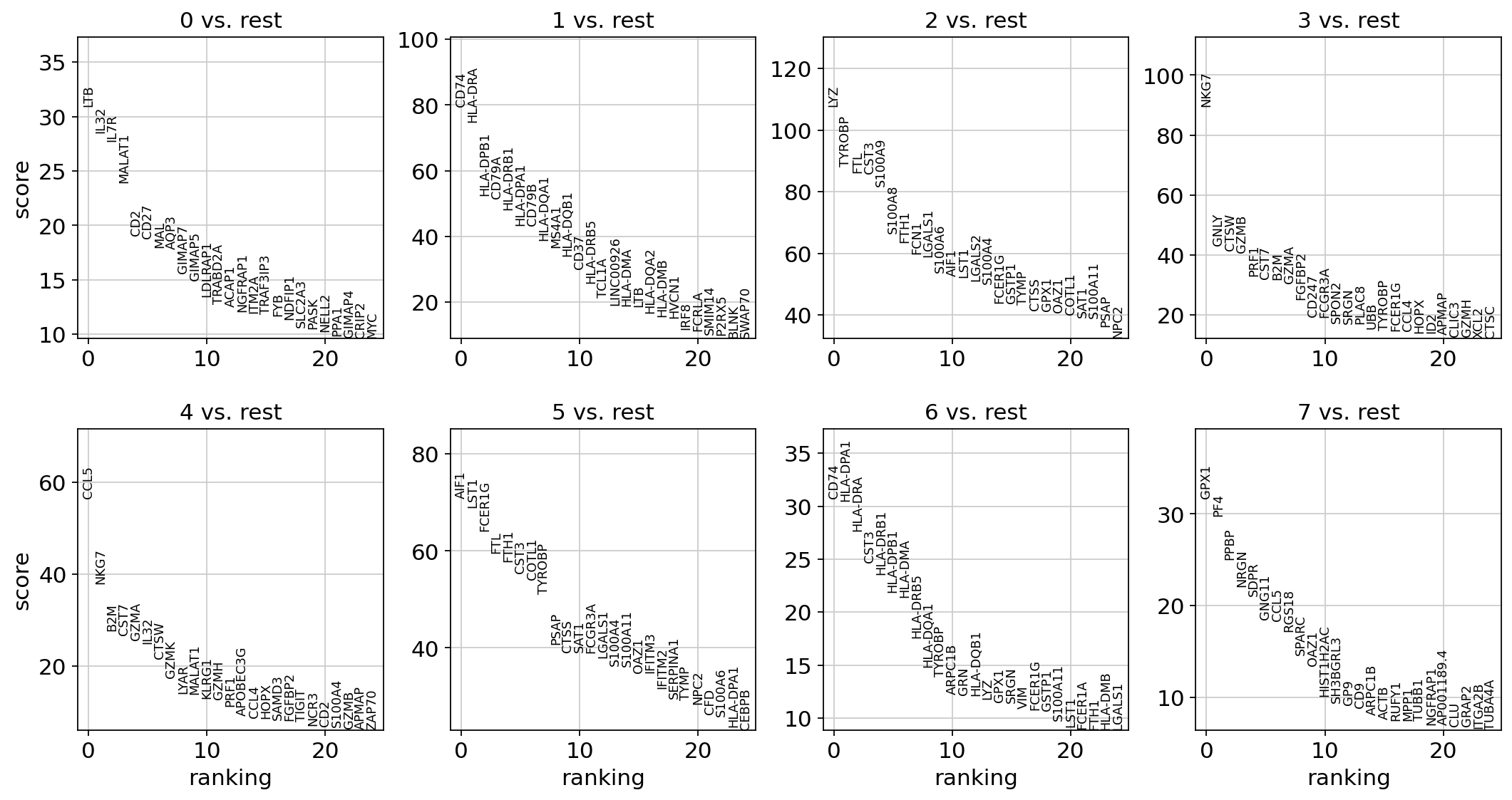
sc.tl.rank_genes_groups(adata, "leiden", method="t-test")
sc.pl.rank_genes_groups(adata, n_genes=25, sharey=False)
ranking genes
    finished: added to `.uns['rank_genes_groups']`
    'names', sorted np.recarray to be indexed by group ids
    'scores', sorted np.recarray to be indexed by group ids
    'logfoldchanges', sorted np.recarray to be indexed by group ids
    'pvals', sorted np.recarray to be indexed by group ids
    'pvals_adj', sorted np.recarray to be indexed by group ids (0:00:00)
../../_images/c6cdc7c3ca4bc4949b15efcefb929bf949346ab7fab72d2ce34d36570ca6a109.png
sc.settings.verbosity = 2  # reduce the verbosity

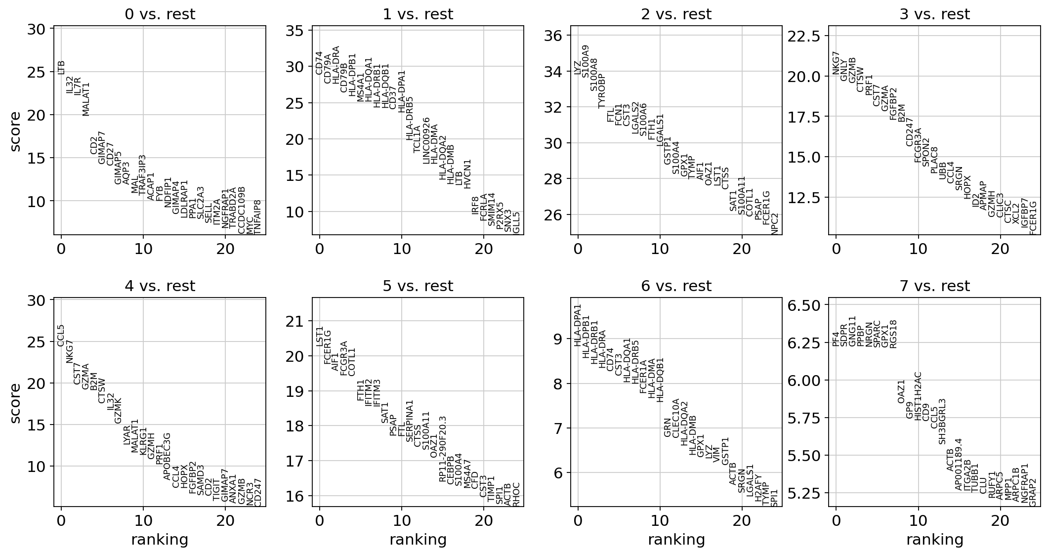
The result of a Wilcoxon rank-sum (Mann-Whitney-U) test is very similar. We recommend using the latter in publications, see e.g., Soneson and Robinson [2018]. You might also consider much more powerful differential testing packages like MAST, limma, DESeq2 and, for python, the recent diffxpy.

sc.tl.rank_genes_groups(adata, "leiden", method="wilcoxon")
sc.pl.rank_genes_groups(adata, n_genes=25, sharey=False)
ranking genes
    finished (0:00:01)
../../_images/ae13566787eb079067eba24e144f55a62b78c33902dfc019eec512c446bf4d27.png

Save the result.

adata.write(results_file)

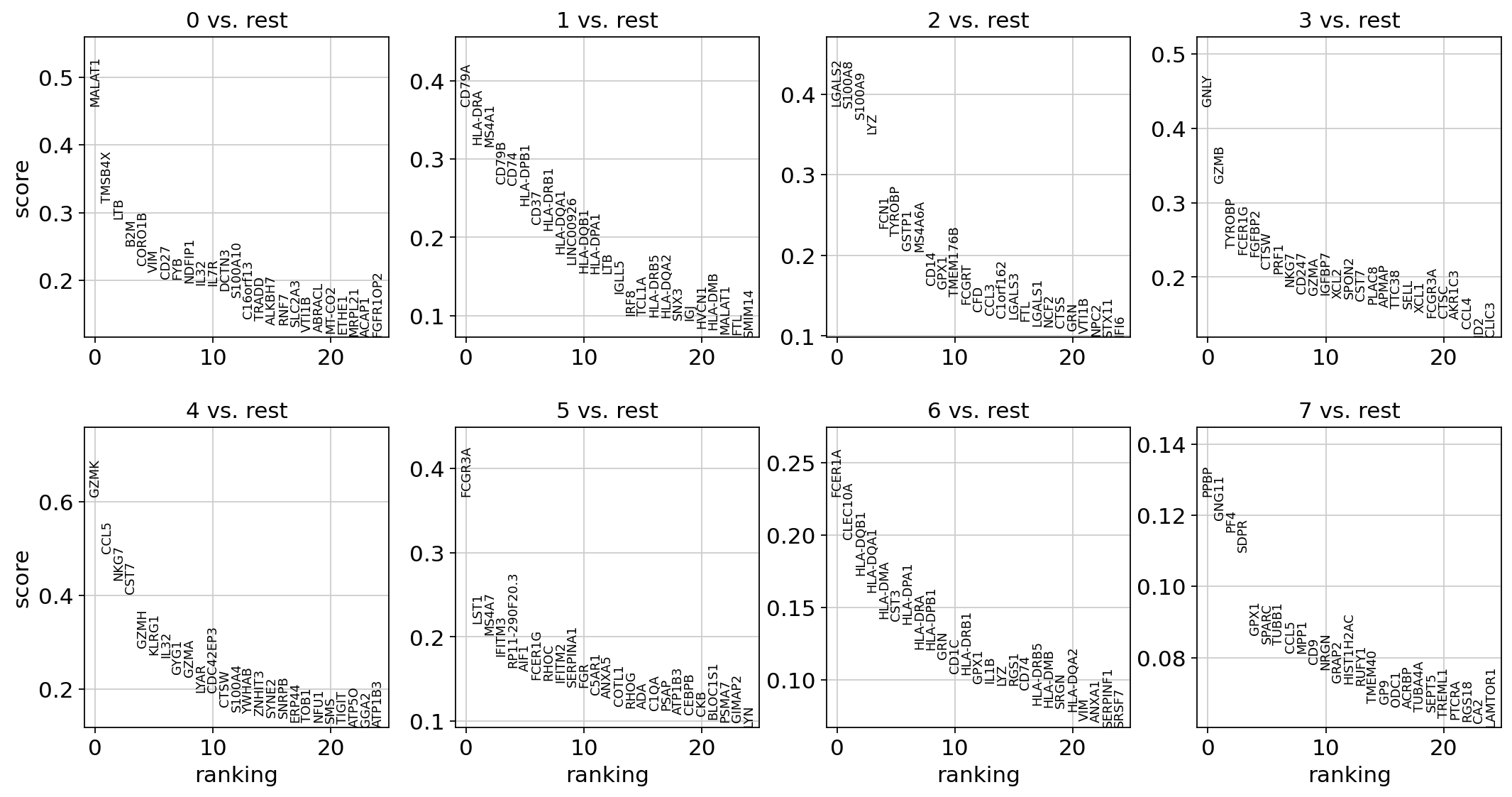
As an alternative, let us rank genes using logistic regression. For instance, this has been suggested by Ntranos et al. [2019]. The essential difference is that here, we use a multi-variate appraoch whereas conventional differential tests are uni-variate. Clark et al. [2014] has more details.

sc.tl.rank_genes_groups(adata, "leiden", method="logreg", max_iter=1000)
sc.pl.rank_genes_groups(adata, n_genes=25, sharey=False)
ranking genes
    finished (0:00:01)
../../_images/b5d3b834ac0cbd24d89c88ce97e57fef6651b8b0e303e6b2ca962785ca1eb950.png

With the exceptions of IL7R, which is only found by the t-test and FCER1A, which is only found by the other two appraoches, all marker genes are recovered in all approaches.

Louvain Group

Markers

Cell Type

0

IL7R

CD4 T cells

1

CD14, LYZ

CD14+ Monocytes

2

MS4A1

B cells

3

CD8A

CD8 T cells

4

GNLY, NKG7

NK cells

5

FCGR3A, MS4A7

FCGR3A+ Monocytes

6

FCER1A, CST3

Dendritic Cells

7

PPBP

Megakaryocytes

Let us also define a list of marker genes for later reference.

marker_genes = [
    *["IL7R", "CD79A", "MS4A1", "CD8A", "CD8B", "LYZ", "CD14"],
    *["LGALS3", "S100A8", "GNLY", "NKG7", "KLRB1"],
    *["FCGR3A", "MS4A7", "FCER1A", "CST3", "PPBP"],
]

Reload the object that has been save with the Wilcoxon Rank-Sum test result.

adata = sc.read(results_file)

Show the 10 top ranked genes per cluster 0, 1, …, 7 in a dataframe.

pd.DataFrame(adata.uns["rank_genes_groups"]["names"]).head(5)
0 1 2 3 4 5 6 7
0 RPS12 CD74 LST1 NKG7 CCL5 LYZ HLA-DPA1 PF4
1 LDHB CD79A FCER1G GZMB NKG7 S100A9 HLA-DPB1 SDPR
2 RPS25 HLA-DRA AIF1 GNLY CST7 S100A8 HLA-DRA GNG11
3 RPS27 CD79B COTL1 CTSW B2M TYROBP HLA-DRB1 PPBP
4 RPS6 HLA-DPB1 FCGR3A PRF1 GZMA FTL CD74 NRGN

Get a table with the scores and groups.

result = adata.uns["rank_genes_groups"]
groups = result["names"].dtype.names
pd.DataFrame(
    {
        f"{group}_{key[:1]}": result[key][group]
        for group in groups
        for key in ["names", "pvals"]
    }
).head(5)
0_n 0_p 1_n 1_p 2_n 2_p 3_n 3_p 4_n 4_p 5_n 5_p 6_n 6_p 7_n 7_p
0 RPS12 4.167598e-226 CD74 2.487145e-183 LST1 4.985426e-88 NKG7 3.591782e-93 CCL5 4.062586e-126 LYZ 2.844372e-249 HLA-DPA1 5.422417e-21 PF4 4.722886e-10
1 LDHB 1.794807e-223 CD79A 1.679730e-170 FCER1G 1.449472e-84 GZMB 2.033412e-87 NKG7 1.528118e-110 S100A9 2.651928e-246 HLA-DPB1 7.591860e-21 SDPR 4.733899e-10
2 RPS25 4.655800e-204 HLA-DRA 6.935111e-167 AIF1 5.833547e-83 GNLY 8.130223e-85 CST7 1.332168e-85 S100A8 8.731315e-238 HLA-DRA 1.306768e-19 GNG11 4.733899e-10
3 RPS27 9.438482e-192 CD79B 2.569135e-154 COTL1 1.261406e-81 CTSW 6.944632e-84 B2M 8.615108e-79 TYROBP 9.809633e-221 HLA-DRB1 1.865104e-19 PPBP 4.744938e-10
4 RPS6 5.767118e-188 HLA-DPB1 3.577195e-148 FCGR3A 4.610698e-77 PRF1 1.621421e-83 GZMA 1.480430e-78 FTL 3.676035e-215 CD74 5.853161e-19 NRGN 4.800511e-10

Compare to a single cluster:

sc.tl.rank_genes_groups(adata, "leiden", groups=["0"], reference="1", method="wilcoxon")
sc.pl.rank_genes_groups(adata, groups=["0"], n_genes=20)
ranking genes
    finished (0:00:00)
../../_images/c3c70891f50de0255a4e8509b53f874c628515f328ca35284668fb8ca39f7cbc.png

If we want a more detailed view for a certain group, use sc.pl.rank_genes_groups_violin.

sc.pl.rank_genes_groups_violin(adata, groups="0", n_genes=8)

Reload the object with the computed differential expression (i.e. DE via a comparison with the rest of the groups):

adata = sc.read(results_file)
sc.pl.rank_genes_groups_violin(adata, groups="0", n_genes=8)

If you want to compare a certain gene across groups, use the following.

sc.pl.violin(adata, ["CST3", "NKG7", "PPBP"], groupby="leiden")

Actually mark the cell types.

new_cluster_names = [
    "CD4 T",
    "B",
    "FCGR3A+ Monocytes",
    "NK",
    "CD8 T",
    "CD14+ Monocytes",
    "Dendritic",
    "Megakaryocytes",
]
adata.rename_categories("leiden", new_cluster_names)
sc.pl.umap(
    adata, color="leiden", legend_loc="on data", title="", frameon=False, save=".pdf"
)
WARNING: saving figure to file figures/umap.pdf
../../_images/69945c49b82db073c402c12a81eb9847291bb417e397f2b4c24a4c4477d20791.png

Now that we annotated the cell types, let us visualize the marker genes.

sc.pl.dotplot(adata, marker_genes, groupby="leiden");

There is also a very compact violin plot.

sc.pl.stacked_violin(adata, marker_genes, groupby="leiden");

During the course of this analysis, the AnnData accumlated the following annotations.

adata
AnnData object with n_obs × n_vars = 2638 × 1838
    obs: 'n_genes', 'n_genes_by_counts', 'total_counts', 'total_counts_mt', 'pct_counts_mt', 'leiden'
    var: 'gene_ids', 'n_cells', 'mt', 'n_cells_by_counts', 'mean_counts', 'pct_dropout_by_counts', 'total_counts', 'highly_variable', 'means', 'dispersions', 'dispersions_norm', 'mean', 'std'
    uns: 'hvg', 'leiden', 'leiden_colors', 'log1p', 'neighbors', 'pca', 'rank_genes_groups', 'umap'
    obsm: 'X_pca', 'X_umap'
    varm: 'PCs'
    obsp: 'connectivities', 'distances'
# `compression='gzip'` saves disk space, and slightly slows down writing and subsequent reading
adata.write(results_file, compression="gzip")

Get a rough overview of the file using h5ls, which has many options - for more details see here. The file format might still be subject to further optimization in the future. All reading functions will remain backwards-compatible, though.

If you want to share this file with people who merely want to use it for visualization, a simple way to reduce the file size is by removing the dense scaled and corrected data matrix. The file still contains the raw data used in the visualizations in adata.raw.

adata.raw.to_adata().write("./write/pbmc3k_withoutX.h5ad")